Our group studies chemical processes from a theoretical perspective involving atoms, molecules, ions, and Rydbergs at very low temperatures (below 1K). At these low temperatures, quantum mechanical effects may dominate the dynamics, and new possibilities of control of reactions emerge. Our approach to the different processes is based on a theoretical study and development of appropriate models followed by simulations to compare our predictions against experimental results.
Few-body physics in cold atom-ion hybrid systems
The development of hybrid trap technologies for simultaneous cooling and trapping of atoms and ions has brought about the possibility of studying chemical reactions between charged and neutral particles with significant control over the internal states of the collisional partners. This hybrid technology is appropriate for studying ion-neutral collisional processes down to temperatures of a few mK. Interestingly, pure many-body quantal effects may emerge, such as forming a mesoscopic ion, or polarons, when an ion is viewed as an impurity in the bath of atoms. However, ions are highly reactive, presenting diverse reaction pathways: radiative association, charge-exchange reactions, or ion-atom-atom three-body recombination, compromising some of the expected many-body features of this system. Moreover, ion-atom-atom three-body recombination leads to the formation of weakly bound molecular ions that turns out to be the tip of the iceberg of acomplex reaction network.
Phase-diagram of a charged impurity in a bath of molecules
Ion-atom-atom three-body recombination
In our group, from a theoretical approach, we study few-body processes involving charged and neutral colliding partners like ion-atom-atom three-body recombination. In particular, we develop new strategies to treat this process and understand how it behaves as a function of the system's temperature, thus, overlapping with the research in cold plasma physics. In addition, we want to understand how the reactivity of an ion changes as the environment is modified. For instance, what happens if one has a molecular one instead of an atomic bath? We have explored some avenues, but still, there is much to be done. In addition, we study molecular ions' vibrational and rotational relaxation mechanisms in the presence of a buffer gas or ultracold atomic gas. In most of these applications, although, at low temperatures, many partial waves play a role in the scattering owing to the solid charged-neutral long-range interaction. These problems are treated mainly from a classical approach due to many partial waves relevant for ion-neutral diffusion at low temperatures. In addition, we are interested in studying the role of the trapping fields on the dynamics of ions, molecular ions, and the different reaction pathways.
Ultracold chemistry
Ultracold chemistry deals with chemical processes at temperatures below 1mK in which only a few partial waves contribute to the scattering. As a result, chemical reactions are entirely determined by quantum mechanical effects that can be further exploited to tailor and control the reaction product's formation. Motivated by such applications, laser cooling of molecules is becoming a popular way to achieve ultracold molecules in contrast to indirect cooling techniques used in bi-alkali systems. However, identifying suitable candidates for molecular laser cooling is not straightforward. Moreover, it is sometimes full of surprises, thus making the topic very challenging and exciting. In our group, we perform ab initio quantum chemistry calculations towards elucidating good candidates for laser cooling. Similarly, we apply inversion techniques to get real potential curves from spectroscopic data. On the other hand, we follow a data-driven approach to expedite our sampling capabilities and identify the best candidates.
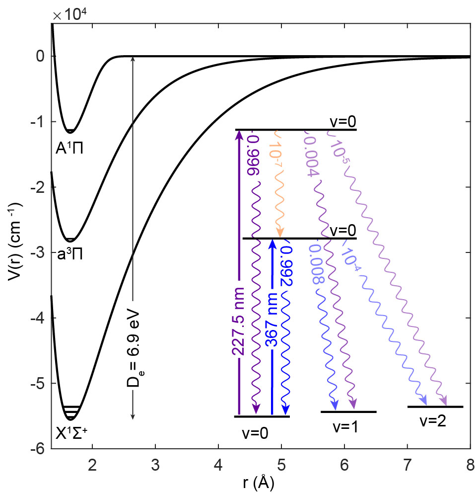
Laser cooling scheme for AlF
However, the final number of attainable ultracold molecules depends on having a proper source: a controllable manner to create an intense and slow molecular beam prior to laser cooling. In general, molecules are created in a buffer gas source after the ablation of a given material in a particular atmosphere. In our group, we study the chemical reaction network of the ablated material in a given atmosphere and identify the most relevant reaction pathways. Our approach is based on on-the-fly molecular dynamics simulations over potential energy surfaces calculated at high level electronic structure methods. As a result, we identify the best combination of material and atmosphere, leading to slow molecules' most effective formation rate.
NF3 + Al -> NF2 + AlF reaction relevant for the formation of AlF molecules in a buffer gas cell.
Our group is interested in exploiting the strong light-matter coupling paradigm to manipulate and control light-assisted chemical reactions in the ultracold regime, such as photoassociation. In the same vein, we explore coherent control approaches to photoassociation reactions. However, our approach selects the reactant states to lead to the desired product state. Similarly, we are interested in understanding energy exchange mechanisms in atom-molecule and molecule-molecule ultracold collisions. These affect the possibilities of reaching a molecular Bose-Einstein condensate.

Photoassociation scheme of ultracold molecules near a nanophotonic crystal
Rydberg physics
Rydberg physics is a classic in the atomic community. Surprisingly enough, still, it is a theme in vogue, owing to the promising applications of Rydberg atoms in quantum information systems and the recent observations of ultra-long-range Rydberg molecules. Ultra-long-Rydberg molecules appear when a Rydberg atom is immersed in a high-density ultracold gas, generally a Bose-Einstein condensate. These molecules are studied from a many-body or atomic physics approach. However, in most approaches, the stability of these molecules is not studied. In our group, we investigate the different chemical processes that induce the decay of these molecules and hence define the lifetime of such exotic molecular bound. Additionally, we explore As relevant atom-Rydberg and Rydberg-ion scattering processes that play a role in the stability of Rydberg-atom and Rydberg-ion systems.
Potential energy curves relevant for chemi-ionization.
Appropriate treatment for ion-Rydberg collisions




