Faculty
Trevor Sears, Professor Emeritus

B.Sc. Chemistry, University of Southampton, UK 1975
Ph.D. Chemical Physics, University of Southampton, UK, 1979
Postdoctoral Associate, Bell Telephone Laboratories, 1979-1980
Postdoctoral Associate, National Research Council of Canada, 1980-1983
Brookhaven National Laboratory, 1983-present
Stony Brook University 2006-present
559 Chemistry
Email: trevor.sears@stonybrook.edu
Awards and fellowships
- Fellow of the Optical Society of America
- Fellow of the American Physical Society
- Leverhulme Foundation visiting Professor, University College, London 2016
- Japan Society for Promotion of Science visiting Scholar, 2014.
High Resolution Molecular Spectroscopy
The Sears group research focuses on the measurement and understanding of the spectra of small gas-phase molecules. In the laboratory at Stony Brook, we have a Menlo Systems frequency comb (Menlo) that provides a frequency stable source of light from 1-2 ㎛ with precision and accuracy good to a few parts in 1011. Diode lasers used for the spectroscopic measurements are locked to a component of the frequency comb so that their frequency is known to the accuracy and precision of the comb itself. In recent years, we have completed a number of projects including measurement of quadrupole splittings in the near-infrared spectrum of ammonia (Twagirayezu et al. 144302) and the measurement of collisional self-broadening due to velocity-changing collisions in sub-Doppler spectroscopy. (Twagirayezu et al. 154308) as shown below.

The figure shows the effect of increasing pressure in the width of the sub-Doppler absorption line (points), the model line profile we developed (blue line) and the difference between the observed and calculated line profiles.
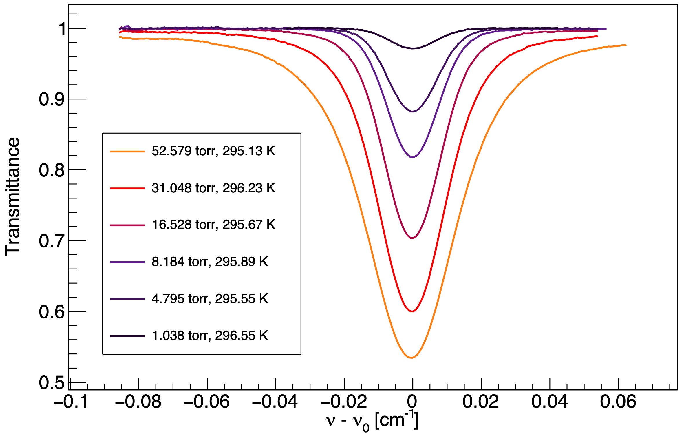
Much of the recent work has involved the measurement of spectroscopic line shapes. In the gas phase, line widths in the spectra of molecules are generally ultimately limited by the Doppler effect due to the Maxwell-Boltzmann distribution of velocities in the sample. This leads to a Gaussian line profile with a width determined by the temperature of the sample and the mass of the molecule. However, as the sample pressure increases, the rate of intermolecular collisions increases, and time between collisions decreases. As the time between collisions gets shorter, the time the molecule can interact coherently with the light source decreases. This results in a collisional lifetime broadening of the energies of the states involved in the spectroscopic transition-a consequence of the uncertainty principle. An example of the kind of results seen is shown in the figure below.

As the pressure is increased, more light is absorbed because there are more molecules in the sample. The width of the line also increases, as does its shape. Less obvious in the figure, but easily measurable is a pressure shift in the line center, to lower frequency here. Detailed understanding of such changes in the line profiles are critical for interpreting remote sensing data, for example in determining the amount of greenhouse gas emissions in our atmosphere, or investigating the properties of the atmospheres of our near neighbors in the solar system. Our experimental data provide benchmarks for evaluating the reliability of models of spectroscopic line profiles in support of remote sensing measurements.
Bibliography:
Menlo, Systems. “FC1500-250-ULN Optical Frequency Comb.” Menlo Systems Products, 2020, https://www.menlosystems.com/products/optical-frequency-combs/fc1500-250-uln/. Accessed 21 10 2020.
Twagirayezu, Sylvestre, et al. “Frequency measurements and self-broadening of sub-Doppler transitions in the v1+v3 band of C2H2.” J. Chem. Phys., vol. 149, 2018, p. 154308.
Twagirayezu, Sylvestre, et al. “Quadrupole Splittings in the near infrared spectrum of 14NH3.” J. Chem. Phys, vol. 145, 2016, 144302(8).
Current Work and Recent Publications
1. Re-evaluation of Ortho-Para-Dependence of Self-Pressure Broadening in the v1+v3 Band of Acetylene, E. C. Gross, K. A. Tsang and T. J. Sears, submitted to J. Chem. Phys. (October 2020)
2. The 1.66 ㎛ Spectrum of the Ethynyl Radical, CCH, E. C. Gross, A. T. Le, G. E. Hall and T. J. Sears, submitted to J. Molec. Spectrosc. (October 2020)
3. Kinetic Study of the OH + Ethylene Reaction using Frequency Modulated Laser Absorption Spectroscopy, James P. A. Lockhart, Eisen C. Gross, Trevor J. Sears, and Gregory E. Hall, Int J. Chem. Kin. 2019;1–10. DOI: 10.1002/kin.21265
4. Frequency Measurements and Self-Broadening of sub-Doppler Transitions in the v1+v3 Band of C2H2, S. Twagirayezu, G. E. Hall and T. J. Sears, J. Chem. Phys. 149, 154308 (2018) DOI: http://dx.doi.org/10.1063/1.5047410
5. Investigating the Photodissociation of H2O2 Using Frequency Modulation Laser Spectroscopy to Monitor Radical Products, J. P. Lockhart, E. C. Gross, T. J. Sears and G. E. Hall, Chem. Phys. Letts.711, 148-151 (2018) https://doi.org/10.1016/j.cplett.2018.09.004
6. Analysis of the A-X Bands of the Ethynyl Radical near 1.48 μm and Re-evaluation of X State Energies, A. T. Le, E. C. Gross, G. E. Hall and T. J. Sears, J. Molec.Spectrosc. 349,64-70 (2018) https://doi.org/10.1016/j.jms.2018.04.006
7. Quadrupole Splittings in the Near-infrared Spectrum of 14NH3, S. Twagirayezu, G. E. Hall and T. J. Sears, J. Chem. Phys.145, 144302(8) (2016) DOI: http://dx.doi.org/10.1063/1.4964484
8. The Near-infrared Spectrum of Ethynyl Radical, A. T. Le, G. E. Hall and T. J. Sears, J. Chem. Phys. 145, 074306(11) (2016) DOI: http://dx.doi.org/10.1063/1.4961019
